Analysis on the annealing effect on Morphological and structural Properties of as-deposited ZnO and Varied Concentration of Aluminum doped ZnO Thin film Grown by Chemical bath Deposition technique

Advertisements

 

Greener Journal of Physical Sciences

Vol. 11(1), pp. 1-10, 2025

ISSN: 2276-7851

Copyright ©2025, Creative Commons Attribution 4.0 International.

https://gjournals.org/GJPS

DOI: https://doi.org/10.15580/gjps.2025.1.010825006

Article’s title & authors

Analysis on the annealing effect on Morphological and structural Properties of as-deposited ZnO and Varied Concentration of Aluminum doped ZnO Thin film Grown by Chemical bath Deposition technique.

Emmanuel Ifeanyi Ugwu1; Igwe Hilary Uche2

1 Department Physics, Nigerian Army University Biu. Nigeria.

2 Department of Industrial Physics, Ebonyi State University Abakaliki, Nigeria

ARTICLE’S INFO

Article No.: 010825006

Type: Research

Full Text: PDF, PHP, EPUB, MP3

DOI: 10.15580/gjps.2025.1.010825006

Accepted: 11/01/2025

Published: 09/02/2025

Keywords: Analysis, CBD, Doping concentration, annealing temperature, Aluminum, Concentration, ZnO Thin film, Properties.

*Corresponding Author

Emmanuel Ifeanyi Ugwu

E-mail: ugwuei2@gmail.com

Article’s QR code

       

ABSTRACT

 

Analysis of the effect of the varied aluminum doping concentration and annealing at varied temperature on the morphological and structural properties of as- deposited and aluminum doped ZnO thin films using Chemical bath deposition technique has been carried out in this work, whereby the concentration of the aluminum was varied from 0.1M, .2M to 0.3M after which they were subsequently annealed at the temperatures of 100oC, 150oC to 200oC. The morphological and structural properties were characterized using XRD and SEM, while other parameters were deduced from the theoretical equations and from the result, it is observed that there is a glaring effect of the variation of concentration of aluminum doping and varied annealing temperature on the properties of the thin film as revealed by the morphological surface structure, grain size, lattice parameters such as crystallites size, micro strain, intermolecular spacing, dislocation density, lattice constants as obtained at preferred plane (101) and at the same diffraction angle. . Just as depicted by the X-ray pattern characteristics.

   

INTRODUCTION

The applications of oxide based nanomaterial in optoelectronics and solar energy harnessing has rejuvenated interest and focus on the study of ZnO thin film which is one of the oxide based nanomaterial due to its response to modifications when it is doped with group two elements such as aluminium, copper etc. Also a study has also been carried out on how the properties of these material are affected when they are subjected to annealing at various temperature.[1-2], after having carried out work on the influence of deposition technique on their properties. This thin film material, AlZnO being a group II−VI compound properties semiconductor with a hexagonal wurtzite crystal lattice structure [3-4] is found to be a better replacement for Indium tin oxide which is widely used as a transparent conducting oxide TCO because it is more abundant and non-toxic in nature. The structural properties [5] made it amenable to adaptability to so many applications as it can be tailored various applications by doping / annealing at various temperature because effect of doping and annealing on the properties [6-10] invariably influences optical and solid state [11-12] which are the major determinant of energy band gap. Generally, zinc oxide (AlZnO) thin films is an inexpensive n-type semiconductor having large and direct band gap of about 3.3 eV and is one of the most potential materials for used as a TCO/perovskite oxide nanocrystal with good electrical and optical properties coupled with its abundance in nature and the ability to deposit these films at relatively low substrate temperatures using a simple technique, CBD.

However, as it clear that pure ZnO thin films are not stable against corrosive environment as adsorption of dioxygen in the films decreases the electrical conductivity and also modifies the surface morphology, then the films become more stable by doping it with trivalent metal cations especially with aluminium Al doped ZnO [14-16] which is also cheap, more abundant, non-toxic and has good stability in hydrogen plasma can be used to influence the properties of the material including optical and electrical property apart from the aforementioned above, which in addition can be improved upon or modified by controlling their doping concentrations [17-19] both of which creates a criteria that critically lead in achieving functionalization and tenability of the material devices. Therefore, it is useful to investigate the correlation between morphological and structural properties of Al-doped ZnO films and the concentration of Al doping and annealing in the enhancement [20-24] of the applications of the material as these also affected the band gap as well. In such type of materials whose band gap is reasonable for use in optoelectronics, apart from the dependence of band gap on the electronegativity of the constituent atoms in the lattice of the crystal plays a role, it is also found that the microscopic inter-atomic spacing and the macroscopic differences of electronegativity of the component atoms contribute on the optical properties and solid state properties of materials such as the refractive index plays which also plays an important role in choosing the materials for the optical application purpose. parameters can be calculated like optical conductivity, real and imaginary parts of the complex dielectric constant which helps to design and frame new material devices. Numerous techniques have already been used to deposit both doped and undoped ZnO thin films on different substrate including spray pyrolysis, organ metallic chemical vapour deposition pulsed laser deposition, sputtering and sol-gel process, SILAR, low pressure process Among these, Chemical bath deposition, (CBD) which is relatively chemical vapour deposition, spray pyrolysis Pulse laser ,radio frequency magnetron sputtering, chemical spray etc.[25-31] deposition but less expensive deposition mechanism and also the one being accredited with several advantages, such as deposition of high purity, homogeneous, large-area films and at the same time being achieved at relatively low temperature is being opted for use in doping ZnO with Al and anneal it in order to ascertain how the modification of its properties based on the Al dopant and annealing could affect its properties for the applications we used Chemical Bath Deposition, (CBD) technique which seems , proves to be simpler, reproducible and inexpensive as compared to other growth techniques to develop our material and carry out our study on the influence of aluminum doping and annealing on morphological and solid state properties on AlZnO thin film.

2. MATERIAL /METHOD

Prior to the deposition, the slides were first washed with water and detergent, further washing was done with acetone and after 30 minutes with ethanol, this is to remove the oily surface from the substrates. The substrates were thoroughly rinsed with distilled water and then dried using ambient temperature before use. The degreased, cleaned surface has the advantage of providing nucleation centers for the growth of the films, hence yielding highly adhesive and uniformly deposited films.

The substrates were dipped vertically into the center of the reaction baths in such a way that they do not touch the bottom or walls of the bath containers. Different concentrations of Al were used to dope ZnO and in each case the substrates were heated in the bath for 2hours at 70oC to allow the film to deposit on the glass slides.

Preparation of ZnO thin films by CBD method is based on the heating of alkaline bath of zinc salt containing the substrates immersed in it. 0.1M of zinc sulphate` was used as a source of zinc, to make the solution alkaline, aqueous ammonia solution was added with constant stirring. Firstly, the solution became milky-turbid due to the formation of zinc hydroxide Zn (OH)2-. Further addition of excess ammonia dissolved the turbidity and made the solution clear and transparent. The pH value of the resultant solution was ~11.0. The substrates were immersed in the bath at room temperature and the bath was heated at a temperature of 343K for 2hours, heterogeneous reaction occurred and the deposition of ZnO took place on the substrates. The ZnO coated substrates were removed from the bath washed with distilled water, dried in air and preserved in an air-tight container. These procedure leads to deposition on undoped ZnO on the glass substrate.

In order to study the effect of doping and annealing on the structural and optical properties of Aluminum doped ZnO (ZnO:Al) thin film, three different concentrations of Al doped ZnO were prepare by adding (0.1M, 0.2M &0.3M) of Al to the starting material. After deposition, the films were washed in distilled water, dried in air and three of them were annealed at different temperatures while one was left un-annealed to serve as control.

 

2.1; Equation of Reaction.

ZnSO4.7H2O → Zn2+ +SO42- +7H2O (1)

C6H12N4+6H2O → 6HCH2+4NH3

NH3+H2O → NH4++OH

2OH+Zn2+→ZnO+H2O

Al (NO2)3.9H2O → Al3+ +3NO3(2)

ZnO+Al3+ →Al ZnO (3)

2.2; Deduction

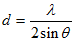
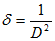
All the structural values, the grain size, D, micro-strain, , dislocation density, and intermolecular spacing, were deduced from the well-known mathematical as outlined in equations 4 to 8 below and the data presented in table 1 in the result and discussion session

(4)

Where D is the grain-size, λ is the wavelength of X-ray used, where (λ = 1.54184Å) gotten from the XRD data, β is the diffraction peak’s FWHM and ϴ is the Bragg’s diffraction angle. The estimated grain-size and some other structural data are presented in Table 1. The micro-strain of the films can be calculated using the equation.

(5)

Where ɛ is the micro-strain, β is the diffraction peak, ϴ is the Bragg’s angle.

The dislocation density of the films was calculated using the equation below

 

(6)

Where δ is the dislocation density and D is the grain-size as obtained from equation 4, the constants was also determined using the equation below

(7)

Where (d) is the interlunar distance or lattice spacing, (h, k, l) are the miller indices, (a) and (c) are the lattice constants for the film structure. Inter planar spacing can be calculated from Bragg’s law

as: (8)

 

2.3; Annealing

All the samples of the deposited thin films were annealed at temperature of 100oC, 150oC and 200oC for one hour in an oven. In order to ascertain how the morphology and the structures of samples would be affected when they are exposed to temperature higher than room temperature without damaging the features and also to investigate the effect of temperature on the morphological and structural properties of the films as whole.

 

3. RESULT/ DISCUSSION

 

Fig 1: SEM Image of pure ZnO annealed @ 100°C.

Fig 2: SEM Image of ZnO doped with 0.1M of Al and annealed @ 100°C.

Fig 3: SEM Image of pure ZnO annealed @ 150°C.

Fig 4: SEM Image of ZnO doped with 0.1M of Al and annealed @ 150°C.

Fig 5: SEM Image of pure ZnO annealed @ 1500C

Fig 6: SEM Image of ZnO doped with 0.2M of Al and annealed @ 1500C

Fig 7: SEM Image of ZnO annealed @ 150°C.

 

Fig 8: SEM Image of ZnO doped with 0.3M of Al and annealed @ 150°C.

Fig 9: SEM Image of ZnO doped with 0.2M of Al and annealed @ 150°C.

Fig 10: SEM Image of ZnO doped with 0.3M of Al and annealed @ 150°C.

Fig 11: SEM Image of pure ZnO annealed @ 200°C.

 

Fig 12: SEM Image of ZnO doped with 0.1M of Al and annealed @ 200°C.

 

Fig.13: X-ray diffraction (XRD) Pattern

Fig.14: X-ray diffraction (XRD) Pattern

Fig 15; EDX image for as-deposited and AlZnO Samples

 

Table 1: The Computed values of crystallites size, micro strain, intermolecular spacing, and dislocation density, lattice constants at preferred plane (101) and at the same diffraction angle. for all the cases studied.

S/N 2θ (o) hkl FWHM (β) Lattice parameter, (nm) d (nm) D (nm) δ (nm)−2 Ε N 1018
A c
1 20 (101) 0.49 5.80 9.48 4.44 3.000 0.333 0.1206 1.6843
2 20 (101) 0.41 5.80 9.48 4.44 3.589 0.279 0.1009 0.9837
3 20 (101) 0.38 5.80 9.48 4.44 3.873 0.258 0.0936 0.7828

Scanning electron microscopy (SEM) was carried out and the corresponding SEM micrographs are shown in Figure 1- 12. The SEM micrograph of as deposited thin film in fig1 reveals good smooth surface morphology as the film possesses uniform distribution of particles with no particulates on the surface for as-deposited case as the shape of the particles on the surface of as deposited thin film is not so visible a the magnification is very low but when ZnO thin film is doped and annealed at various temperatures, the surface morphology of this thin films seems to be affected because the grain size of morphology become rough as compare to previous ones, as observed. The micrograph that is the size of the grains become denser and larger and this is enhanced more as the annealing temperatures is increased. [32] This could be attributed to the effects of evaporation of absorbed water and reorganization of the grain, On the other, further increase in temperature up to 150°C, the effect of annealing temperature has appeared to be very interesting as the grain appears in form of flower like structures is observed on the surface of thin films morphology. These flowers like structures are not well separated from one another although some boundaries can be clearly seen in them. Finally, as the annealing temperature gets to temperature of 200°C, these flower like structures are very well separated from each other. Each flower like structure looks as a nucleation center for growth of structures that can be seen at the center of these flowers and the coarseness of the grain structure become very prominent.

From the above results, it is seen from the morphologies as obtained from SEM for the all the cases considered were influenced by the aluminum and other doping element-[33-34] [22]concentration and annealing on the structure of the grain size of the of the thin films including the X-ray diffraction pattern.[33] These were affirmed by the computation of the Computed values of crystallites size, micro strain, intermolecular spacing, and dislocation density, lattice constants at preferred plane (101) and at the same diffraction angle. , as presented on the table 1 above because the lattice parameters varied with variation in dopant concentration and annealing at the same diffraction angle with the same preferred plane of orientation. From the observation, it is clear that the deposited thin film contains some impurities though the major constituent elements maintain higher percentage with other impurity elements having lower percentages and in minority.

4. CONCLUSION

Chemical Bath Technique has been used to deposit ZnO and AlZnO thin films effectively with concentrations of aluminum doping varied and the films annealed at various temperature. It was seen from the EDX result that there was contamination or impurities in deposited films samples for both as-deposited and aluminum doped as-deposited ZnO thin film aluminum doped ZnO. The evaluated and studied on the impact of aluminum doping on the structural and morphological properties of the deposited films as obtained from X-Ray Diffraction (XRD) and scanning electron microscopy (SEM) revealed that the morphology and the structure of the deposited films as analyzed hereby indicated that the morphological and structural properties of thin films are significantly influenced by the concentration of the dopant and annealing temperature. This was manifested in the variations in the structural properties as analyzed from the XRD analysis coupled with the computed parameters from the equations. For instance, there is variation in grain-size, grain boundary, dislocation density, micro-grain, lattice parameters and crystalline nature with the Aluminum doping concentration and annealing temperature coupled with the with the micrographical structure variations as displayed in the morphology. Invariably, such effect on the structure and morphology on thin film could definitely affect other parameters of the materials such absorbance, transmittance and energy band gap which on the other hand can influence the applications of the materials to various areas in optoelectronics, solar cells etc and as such can be concluded that the properties of ZnO could be modified by Al dopant and annealing for device applications as outlined in the literature.

 

5. REFERENCES

[1].Ugwu, E. I. (2018). The Effect of Annealing, Doping on the Properties and Functionality of Zinc Oxide Thin Film; Review. In Sol-Gel Method-Design and Synthesis of New Materials with Interesting Physical, Chemical and Biological Properties. IntechOpen.Chapter2, PP

[2]. EI Ugwu, SI Nworie and NEJ Omaghali, (2021).Influence of Variation of Aluminium Doping Concentration and Annealing Temperature on the Structural, Morphological and Dielectric Constant of ZnO Thin Film Grown Using Chemical Bath Deposition Process. J App Mat Sci & Engg Res, 2021 www.opastonline.com, Volume 5 | Issue 2 | 15

[4]. Myers M. A, Myer M.T. General M. J, Lee J.H, Shao, L and Wang H. (2012),P-type ZnO thin film achieved by ion implantation through dynamic annealing process, Appl .Phys Letters, Vol101, Isue11, 1063/14751467

[5]. Sarma H, Chakrabortty, Sarma K.C, (2014), Optical and Structural Properities of ZnO Thin Films Fabricated by SILAR Method I, JIRSET, Vol.3, Issue 10, 16957-16964

[6] Shan F.K., Yu Y.S., Band gap energy of pure and Al doped ZnO thin films, Journal of the European Ceramic Society, 24 (2005), 1869-1872

[7] Samavat, F., Ahmad, P. T., Mahmoodi, F., Samavat, M. F., & Tavakoli, M. H. (2012). The effect of annealing on the size and morphology of palladium nanoparticle. Am J ond Mat Phys, 2(3), and 73-6.

[8]. Kim Y.S., Tai W.P., Shu S.J., Effect of preheating temperature on Structural and optical Properties of ZnO thin films by sol–gel process, Thin Solid Films, 491 (2005), 54-60

[9]. Zhou, H., Fang, G. J., Liu, N., & Zhao, X. Z. (2011). Effects of thermal annealing on the performance of Al/ZnO nanorods/Pt structure ultraviolet photodetector. Materials Science and Engineering: B, 176(9), 740-744.

[10]. Goktas, A., Tumbul, A., Aba, Z., & Durgun, M. (2019). Mg doping levels and annealing temperature induced structural, optical and electrical properties of highly c-axis oriented ZnO: Mg thin films and Al/ZnO: Mg/p-Si/Al heterojunction diode. Thin Solid Films, 680, 20-30.

[11]. Benhaoua B, Rahal A, Benramache S (2014) .The structural, optical and electrical properties of nanocrystalline ZnO:Al thin films. Superlattice Microst 68:38–47.

[12]. Pogrebnjak A.D., Jamil N.Y., Muhammed A.K.M. Structural and optical properties of ZnO prepared by CVD before and after annealing, Metallofiz. Noveishie Tekhnol, 33 (2011), 235-241

[13]. Igwe, H. U., Ekpe, O. E., & Ugwu, E. I. (2010). Effects of thermal annealing on the optical properties of titanium oxide thin films prepared by chemical bath deposition technique. Research Journal of Applied Science, Engineering and Technology, 2(5), 447-451

[14]. A. Alaeddin, I. Rachidi, F. Bahsoun, Y. Mohanna, O. Bazzi and F.El haji Hassan (2009). Influence of Al Dopant on the Optical and Electrical properties of ZnO Thin Films Prepared by Spray pyrolysis. Journal of Applied Sciences, 9(8): 1588-1592.

[15]. Kim D, Yun I, Kim H (2010) Fabrication of rough Al doped ZnO films deposited by low pressure chemical vapor deposition for high efficiency thin film solar cells. Cur. Appl. Phys 10:S459–62

[16]. Rozati, S. M., & Akesteh, S. (2007). Characterization of ZnO: Al thin films obtained by spray pyrolysis technique. Materials characterization, 58(4), 319-322.

[17]. Sönmezoglu, S and Akaman E. (2014), Improvement of the Physical Properties of ZnO thin films by Tellurium doping ELSEVIE, Appl.Surface Science, 318,319-322.

[18]. Allabergenov; O.Tursunkulov, A.I Abidov J.S Wook, (1946) Study of Optical Properties in Cu-doped ZnO thin films fabricated by Dc Magnetron Sputtering, Novotny V.H//Z, Metal Kunde, 1946 Vol. 47, 40-42

[19]. Cheng X.M and Chien C.L (2003) Magnetic Properties of Epitaxial Mn-doped ZnO Thin Film

[20].Nworie, S. I., & Ugwu, E. I. Study of the Optical Characteristics of Aluminum Doped ZnO Thin Film.PJST, Volume 21. Number 1. May 2020 (Spring) pp.40-44.

[21]. Mondal, S., & Mitra, P. (2012). Preparation of cadmium-doped ZnO thin films by SILAR and their characterization. Bulletin of Materials Science, 35(5), 751-757

[22]. Bhosle V, Tiwari A, Narayan J (2006) Metallic conductivity and metal semiconductor transition in Ga-doped ZnO. Appl Phys Lett 88:032106.

[23]. Lokhande, B.J; Patil P.S and Uplane M.D,(2001) Study on Structural, optical and Electrical properties of boron doped ZnO thin film Prepared by spray pyrolysis Technique, Physics b 302-302, 59-63

[24].Iribarren A. Fernandez P, and Piqueraz, J, (2008), Cathodoluminescence Study of Te-doped ZnO Microstructure Grown by vapour-Solid process, J.Mater Scie., 43 2844

[25].Joseph, B,Manoj P.K and Vaidyan V.K(2006),Studies on the structural and optical properties of Al-doped ZnO Thin films prepared by Chemical Spray deposition, Ceramic International 32(5), 487-493.

[26].Kotlyarchuk R; Sarchuk V and Oszwaldowski M (2005 Preparation of undoped Indium doped ZnO thin films by pulsed Laser deposition method. Cryst Res Technol. 40, 12 1118- 1123

[27].Shinho Cho, (2009), Effect of Growth temperature on the Properties of ZnO thin film Grown by Radio- frequency Magnetron Sputering TEEM, Vol. 10,No. 6, 185-188.

[28]. Ayouchi R Martin F. Leinen D. and Ramos- Barrado J.R, (2002) ,Growth of Pure ZnO Thin Films Prepared by Chemical Spray Pyrolysis on Silicon, Crystal Growth, 247, 497-504

[29]. Znaidi L. Touani T. Vrel J.D Souded N. Yahla S.B; Brinza O.; Fischer,A and Bourdieu A.(2012), ZnO thin films Synthesized by Sol-Gel Process for Photonic Application, ACTA PHYSICA POLONICA A. Vol. 121 No.1, 165-168

[30]. Pogrebnjak A.D.Jamil N.Y., Muhamed A.M, Electrical and optical properties of ZnO:Al films prepared by chemical vapour deposition (CVD) / Proceedings of 1st International conference “Nanomaterials: Applications & properties” (NAP-2011). – Ukraine, Crimea, Alushta, September 27-30, (2011). 226-232.

[31].Park S.H; Monegishi, T; Oh D.C; Kim, D.J; Chang J.H.Yoa, T Taishi, T. and Yonenaga,(2013),Influence of isoelectronic Te-doping on the physical properties of ZnO films grown by molecular beam epitaxy, JPN. J. Appl. Phys 52. 055501

[32]. Oral A Y; Batis, Z.B and Asian M.H (2007) Microstructure and Optical Properties of nanocrystalline ZnO and ZnO (Li or Al) thin films, Appl. Surf. Scie; 253, 10, 4593- 4598

[33]. Jimenez-Gonzale, A.E, J.A, Soto-ureta and R. Suarez-para 1998. Optical and electrical characteristics of Aluminum dopes ZnO thin films prepared by Sol gel techniques. J. Cryst. Growth, 192: 430-438

 

Cite this Article:

Ugwu, EI; Igwe HU (2025). Analysis on the annealing effect on Morphological and structural Properties of as-deposited ZnO and Varied Concentration of Aluminum doped ZnO Thin film Grown by Chemical bath Deposition technique. Greener Journal of Physical Sciences, 11(1): 1-10, https://doi.org/10.15580/gjps.2025.1.010825006.

PDF VIEWER

Loader Loading...
EAD Logo Taking too long?

Reload Reload document
| Open Open in new tab

Download [729.97 KB]

 

Loading

Leave a Reply

Your email address will not be published. Required fields are marked *